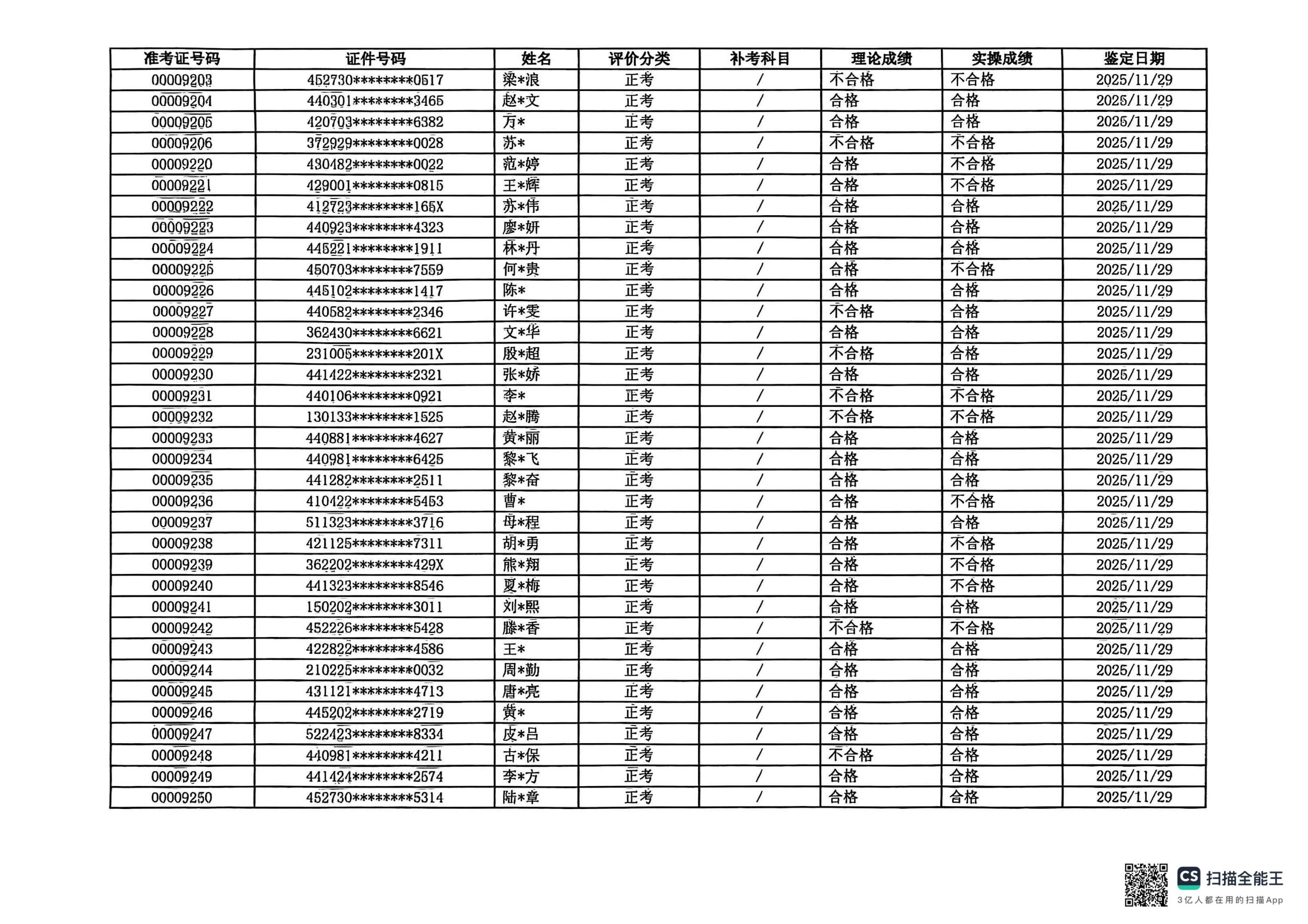
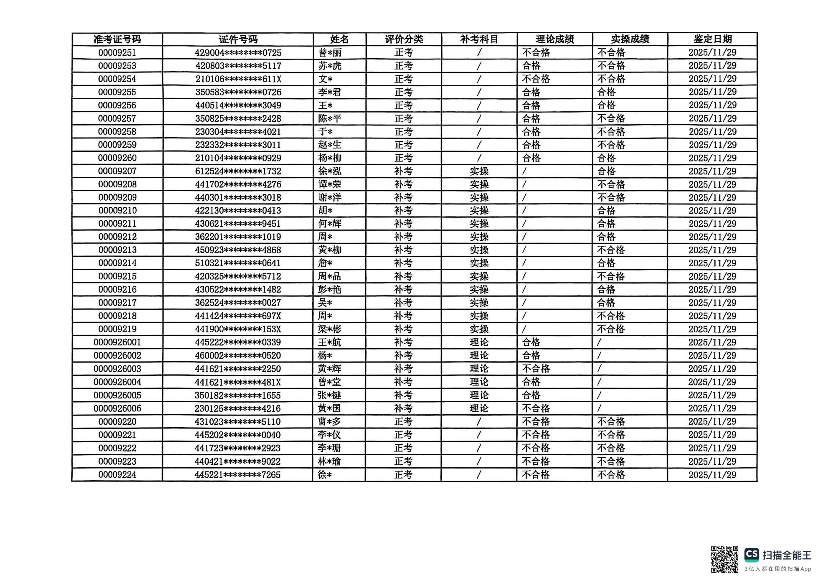
2025年深圳市第七批人工智能训练师职业技能等级认定考试(评价计划编号:2510000529、2510000531、2510000532)顺利完成,考试结果现予公示。公示时间为:2025年12月4日-2025年12月10日止(五个工作日)。若对下列同志考试结果有异议,请电话或书面向协会部门反映,反映至情况的电话和书面材料要自报或签署真实姓名,不报或不签署真实姓名的,一律不予受理。
受理情况反映的部门、电话和地址:
单位部门:深圳市人工智能产业协会人才评价中心
联系人:任老师
联系电话:0755-23065814
附件:广东省职业技能评价成绩册(广州)






